2023-06-30
General intelligence (i.e., g-factor) was first proposed by Spearman (1904) to account for the “positive manifold” phenomenon of cognitive tests.
Given the term “intelligence” is hard to define and easily leads to confusion, many researchers (see Jensen (1998)) focused on the g (i.e., general intelligence) (Barbey, 2021; Haier, 2017).
Current cognitive scientists also defined intelligence as general cognitive ability (Barbey, 2021), which can be derived by multiple cognitive tasks
Conceptual relationships among mental abilities, intelligence, IQ, and the g-factor (The intelligent brain, 2013)
Two major influences: sampling of participants and sampling of cognitive tasks
Here we focus on the issue of tasks sampling
Factor analysis method
Task sampling representativeness
There are several different factor analysis modeling method:
Spearman Model
Bifactor Model
Orthogonalized Hierarchical Model
Jensen (1998) found that the g-factor scores is extremely stable among different methods, with correlation coefficients ranging from 0.991 to 1.000. Here we just focus the classical Spearman model for its simplicity.




| Project | Number of Cognitive Tasks | Ref |
|---|---|---|
| UK Biobank (2004) | 4 | Cox (2019) |
| HCP (2009) | 12 | Dubois (2018) |
| Aging Brain Cohort (2021) | 5 (part of NIH toolbox) | Newman-Norlund (2021) |
| ABCD Study (2015) | 10 (7 from NIH toolbox) | Thompson (2019) |
Behavior sample: 1730 participants (Mean age = 20.8, SD = 2.1, range: [16.8, 30.83]; Sex: 58.9% females, 41.1% males, 0.0% other)
FMRI sample: 731 participants (Mean age = 20.9, SD = 2.2, range: [17, 29]; Sex: 62.5% females, 37.5% males, 0.0% other)
Figure 1: Variance Explained by the g Factor. The horizontal line gives the variance explained by the g factor estimated from all the tasks.
Figure 2: Correlation with Raven’s Advanced Progressive Matrices (RAPM) scores. The horizontal line is the correlation between gF score estimated from all task indices and RAPM.
Figure 3: The correlation between g scores estimated from each pair of sampling. For each sampling, a pair of equal-number tasks are drawed without replacement. So the maximal number of tasks will be 10, and this figure shows that the correlations between the paired g scores increase as the number of tasks increase.
Figure 4: Compare different CPM hyper-parameters. We chose a threshhold method based on alpha level of correlation and a threshhold level at 0.01.
Figure 5: Using CPM method to predict Raven score by FC from different states, we found that task-induced (i.e. n-back task) showed best performance, though combing task and resting states using the first principal component showed comparable performance. What’s more, global signal regression will enhance the performance, whereas different parcellation showed comparable performance.
Figure 6: Prediction Trending (based on CPM).
Figure 7: Dice coefficient between each pair of predictive network in pairwise sampling. The edges are kept when given proportion of resamples selected. Here only the results from task state are shown.
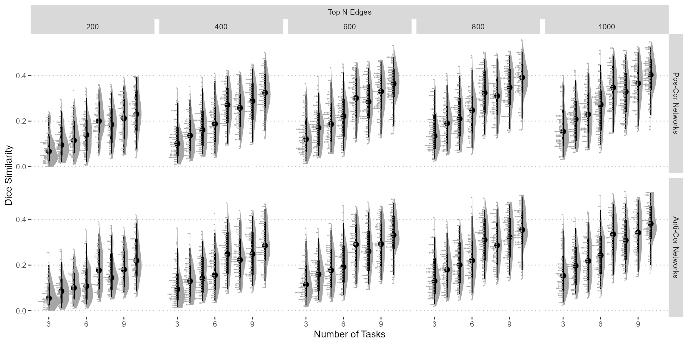
Figure 8: Dice coefficient between each pair of predictive network in pairwise sampling. Only the most selected of given number of edges are kept. Here only the results from task state are shown.
The following is to test whether the correlation between the estimated g-factor scores and the brain functional connectivity can be improved by eliminating certain observed variables, e.g., those with the least factor loading.
Figure 9: The correlation between g factor scores and brain functional connectivity reaches plateau after 6 variables of largest factor loading were included, whereas that of RAPM scores reaches plateau after 13 variables. This might indicate that more variables might not necesssarily be beneficial to the measure of g-factor estimation, esp. when adding low g loading tasks.
Figure 10: Correlation with brain FC for single tasks. The tasks are ordered by the factor loading in one g factor model.
Figure 12: Chord diagram of top 500 edges
Figure 13: Contribution of Networks
Figure 15: Chord diagram of top 500 edges
Figure 16: Contribution of Networks